Resumen de resultado clínico

Efectos de Helichrysum Gymnocephalum en el prurito asociado a la dermatitis atópica
Eficacia farmacológica de Helichrysum Gymnocephalum en la vía pruritogénica de la dermatitis atópica
Efecto antiinflamatorio de Helichrysum gymnocephalum sobre IL-8 y TSLP
Cultivo de queratinocitos (N= 3)
Creación de una simulación de inflamación con queratinocitos estimulados por IL-4 e IL-13 durante 24h

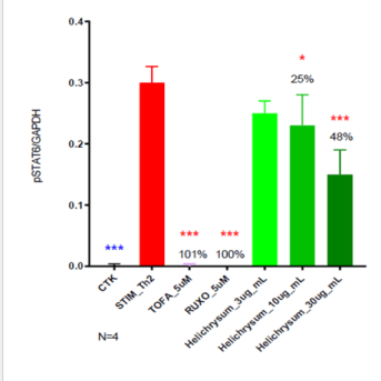
Efecto antiinflamatorio de Helichrysum gymnocephalum sobre la vía JAK 1/2-STAT6
Los inhibidores de JAK se consideran los principales tratamientos de la dermatitis atópica.
Por lo tanto, era importante para nosotros llevar a cabo un estudio farmacológico en la vía JAK para comparar la eficacia de nuestro ingrediente activo con los inhibidores JAK.
Estimulación IL-4/IL-3 : 15min

Fosforilación de STAT6

Importante vínculo de comunicación entre la IL-31 y el péptido natriurético cerebral (BNP)
La IL-31 desempeña un papel importante en el prurito al provocar la multiplicación y el desarrollo de neuritis (fibras neurosensoriales) a través de biomarcadores como el BNP. El aumento de la liberación y síntesis de BNP por la IL-31 podría contribuir a la señalización central y periférica del prurito.

Efecto antiinflamatorio de Helichrysum gymnocephalum sobre el péptido natriurético cerebral (BNP)
Co-cultivo de neuronas sensoriales y queratinocitos.

Efecto antiinflamatorio de Helichrysum gymnocephalum sobre el crecimiento nervioso.
Co-cultivo de neuronas sensoriales y queratinocitos.

.

Conclusión
El extracto de Helichrysum gymnocephalum inhibe :
- La producción de TSLP e IL-8
- La fosforilación de la vía JAK/STAT
Helichrysum gymnocephalum ha demostrado su eficacia para bloquear el crecimiento de las neuritas, así como la producción de BNP.
Existe, por tanto, una propiedad antiinflamatoria y antipruriginosa específica para la dermatitis atópica a través de la vía JAK/STAT.
¿Quiere seguir leyendo?
Este acceso está reservado a los profesionales, registrados en Pierre Fabre For Med.
Para acceder al contenido completo, regístrese o identifíquese si ya tiene una cuenta.